До головного контенту
Укр
Eng
На головну
A
A
A
Навігація сайту
Про місто
Міська влада
Міська рада
Бюджет
Публічна інформація
Прозорість влади
Документи
Українська
English
зроблено в
Знайти
Головна
Документи
Протокол
Чинний
Загальна інформація
Картка документа
Загальна інформація
Картка документа
Загальна інформація
Картка документа
Протокол
від 22.12.2016 м. Луцьк
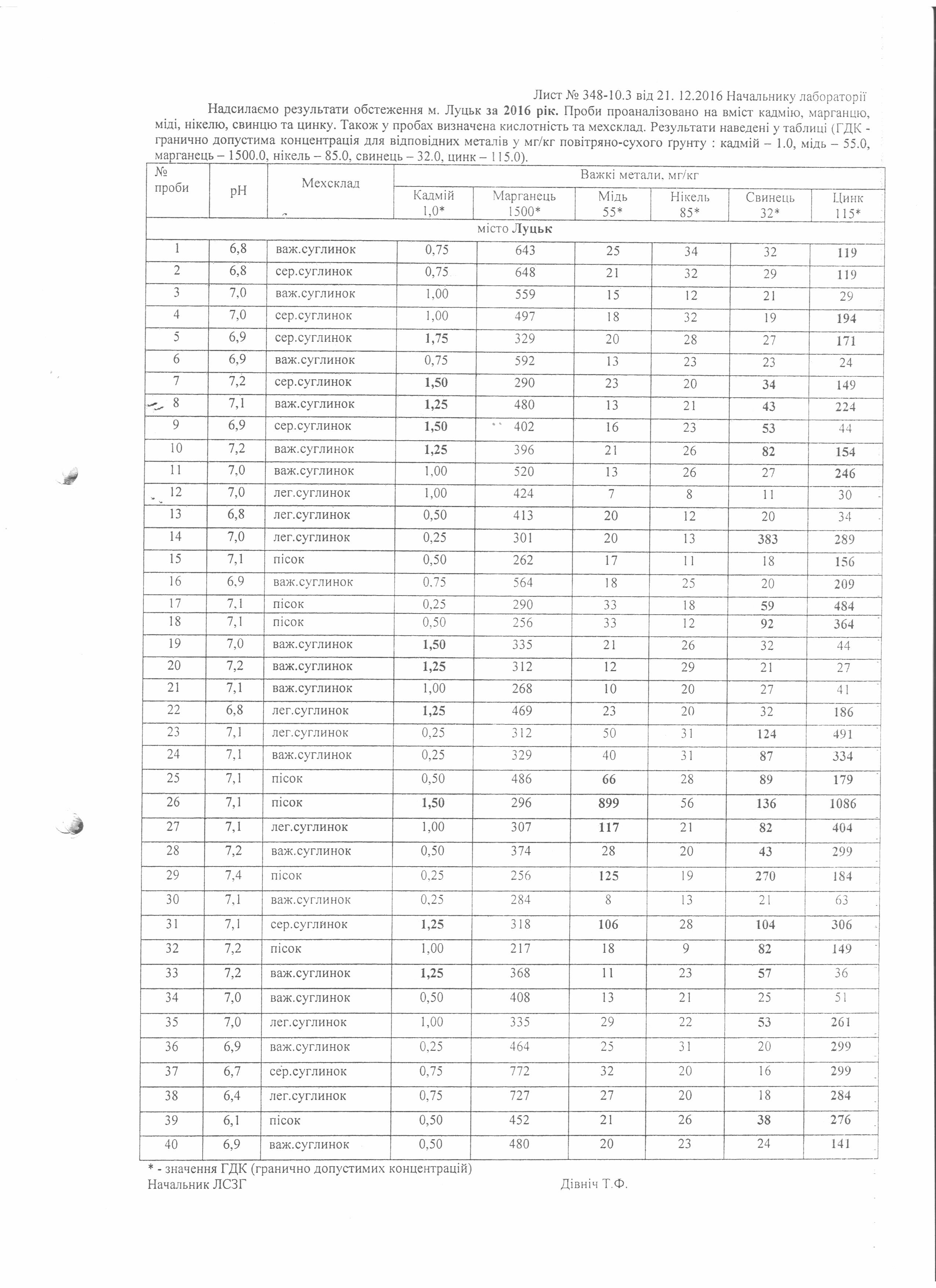
Дослідження ґрунтів
Додатки:
001
002
Роздрукувати